为提升大学生实践调研能力,深入了解共享单车停放情况与可能存在的潜在问题。根据学校最新防疫要求、响应学院“三下乡”社会实践服务号召,8月15至23日,在我院任奕帅老师的指导和帮助下,“数据驱动的共享单车出行规律与电子围栏建设问题研究”(国家级SIT立项)调研小组对“长沙市共享单车停放现状情况”开展了线上调研活动。
8月15日上午,为确保调研实践的顺利进行,小组成员通过线上会议的形式进行了有关正式调查的小讨论,商讨了本次活动的主要内容与活动注意事项,为正式调研作了充足的准备。基于项目前期的收集的相关资料以及线上的交流讨论,共同确定了现阶段长沙共享单车面临的主要问题,即如何规范共享单车发展以及如何促进市民更加合理使用共享单车。会上舒永欢同学回顾了有关单位对共享单车的管理现状以及相关政策文件。例如,《关于鼓励和规范互联网租赁自行车发展的指导意见》中肯定了共享单车的积极作用,明确了共享单车定位,从多方面鼓励和规范共享单车发展,更好地满足公众的出行需求。在此基础上,为加强对共享单车的监管力度,去年长沙市推出针对共享单车的综合考核方案,包括对共享单车企业进行“考核打分”,对每月排名最后一名共享单车运营企业予以行政处罚。会议最后,基于在任老师的建议,小组成员们制定出了本次三下乡调研的具体方案,即基于环境行为理论,以长沙市共享单车使用者为研究对象设计问卷调查数据,通过运用回归分析法,从单车使用者先前行为以及对共享单车停放区域环境评价角度,分析人们共享单车规范停放意愿及其影响因素。本次调研旨在揭开解决共享单车停放问题的面纱,探索城市治理变革的前路。

图一:调研问卷部分展示
会后的实践活动中,小组成员们通过网络积极发放小组设计的调查问卷,共回收有效问卷185份。共享单车具有低碳环保、绿色出行的特点,共享单车不仅是共享经济的一种形态,同时也是人们绿色出行的选择之一。但通过对问卷的分析发现,虽然共享单车自出现以来给居民生活带来许多便利,较大程度上解决了“最后一公里”出行难题,提高了综合出行效率,亦满足了人们骑行和强身健体的需求。然而,近几年不少单车企业片面追求单车投放量与用户使用量,加上前期政府疏于监管,公民的规范使用意识不强,共享单车行业呈现出重使用而轻管理的局面。特别是共享单车在发展过程中却出现了乱停乱放、随意破坏、“私有化”共享单车等所造成的资源浪费和城市公共空间占用问题。鉴于共享单车公共性与便捷性的特点,使用者在停放共享单车时的责任意识相对薄弱。除了单车停放位置不当的问题,还存在虽然停放位置正确,但摆放“姿势”不整齐的现象。共享单车乱停放引发社会问题,一方面,造成市容的破坏和管理负担的增大;另一方面,给居民生活的带来不便,影响人们的出行,甚至存在磕伤绊倒等安全隐患。

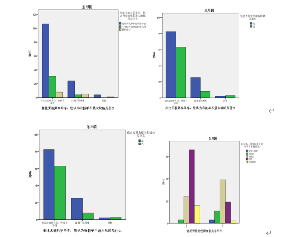
图二:问卷调研结果部分展示
在此基础上,小组成员们通过计量工具对问卷结果和数据进行分析,发现了“我认为规范停放共享单车是一种社会义务”与“我经常活动的区域有专门的自行车停放点”会对规范停放共享单车的行为产生显著的正向影响,“对我而言,规范停放共享单车是困难的”会对规范停放共享单车的行为产生显著的负向影响,就影响程度大小而言,认知程度高低>有无自行车停放点>停放难易程度。最后,基于研究调研和研究结果,调研小组印制了相应的文明使用共享单车的倡议书,并通过朋友圈的方式进行推广,以期为提升人们的规范停放共享单车责任意识贡献力量。
总之,共享单车的规范停放是文明社会不可缺少的一部分,倡导文明生活风尚、为长沙发展贡献力量是青年大学生应有的担当。小组成员们通过撰写调研报告,将课堂所学应用到了社会问题的分析之中,在自身能力得到锻炼成长的同时,也增强了社会责任感。